5 905,92 PLN

Numer oferty65
Typ transakcjiWynajem
Cena5 905,92 PLN
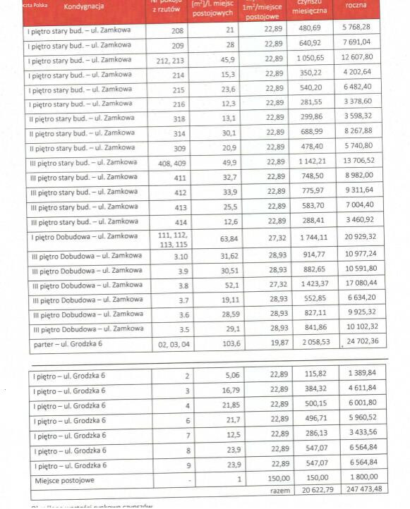
Powierzchnia384 m2
Cena za m215,38 PLN / m2
Liczba pomieszczeń18
Stan lokaludo odświeżenia
Typ budynkuplomba
Typ Lokalubiurowo-usługowy, biurowy
Wynajem | Budynek biurowy | Kalisz | Rynek (Kalisz, Zamkowa)

Adres: ul. Zamkowa 18-20, Kalisz
Powierzchnia uż.: 384 m2
Liczba pomieszczeń: 18
Grunt: dz. ewid. nr 98/3 98/6 97/1 97/4 98/4 97/3 98/2 o pow. 1 871 m²
Cena: od 15,38 zł/m2

Poczta Polska S.A. prezentuje pomieszczenia biurowe na wynajem, które stanowi dobrą przestrzeń przykładowo na:

- Biura firm z sektora usług lub doradztwa lub coworking,
- Biura rachunkowe.

Powyższe propozycje nie wykluczają innych możliwości wykorzystania powierzchni budynku i przeznaczenia powierzchni.

-> Atuty nieruchomości
- Budynek znajduje się w doskonałej lokalizacji przy kaliskiej starówce,
- Reprezentacyjna część miasta Kalisza.

-> Nieruchomość
- Budynek biurowy IV kondygnacyjny (podpiwniczony),
- Zróżnicowane metraże pomieszczeń (od około 5 do 104 m2).

-> Parking
- Na ogrodzonym terenie nieruchomości znajduje się 13 miejsc parkingowych (utwardzonych, kostka brukowa),
- Płatny ogólnodostępny parking przy ulicy Zamkowej.

-> Lokalizacja i otoczenie
- Centrum miasta w sąsiedztwie Rynku (ok. 1 km),
- Pełna infrastruktura handlowo-usługowa,
- Ok. 850 do Plantów,
- Ok. 5 km do dworca PKP,
- Ok. 900 m do przystanków komunikacji miejskiej.

-> Media i udogodnienia
- Ogrzewanie gazowe
- Instalacja wodociągowa i kanalizacyjna,
- Internet światłowodowy,
- Inst. odprowadzania wód opadowych,
- Inst. wentylacji mechanicznej i klimatyzacji,
- Monitoring i dostęp do usług pocztowych.

-> Skontaktuj się z Nami
- tel: 885 250 675
- e-mail: info.nieruchomosci@poczta-polska.pl

Cena i warunki najmu nieruchomości lub lokali pozostają do uzgodnienia. Poczta Polska S.A. nie wyklucza przeprowadzenia przetargu na najem ww. pomieszczeń lub całości budynku.

Niniejsze ogłoszenie ma charakter informacyjny i nie stanowi oferty handlowej w rozumieniu Kodeksu cywilnego.


Oferta wysłana z programu IMO.
Kalisz, Zamkowa

Kontakt